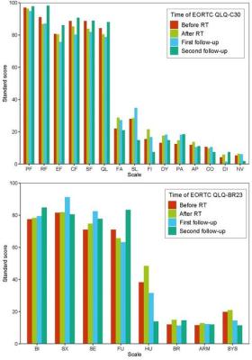
Standard scores of five function and nine symptom scales and an assessment of the global health status of four EORTC QLQ‐C30 questionnaires (top) and standard scores of four function and four symptom scales of four EORTC QLQ‐BR23 questionnaires (bottom). Image courtesy of Rui-Zhi Zhao, Cheng Huang, Tian-Lan Tang, Gui-Qing Shi, Si-Lin Chen, Yu-Ping Lin, Ying Wang, Liu-Qing Jiang, Jin-Hua Chen, Chun-Sen Xu, Fang-Meng Fu, Zhong-Hua Han, Shun-Guo Lin, Chuan Wang, Yong Yang
February 22, 2024 — The FAST-Forward randomized trial from the UK found that ultrahypofractionated whole breast irradiation (WBI, 26 Gy in five fractions over 1 week) was just as effective as the 3-week regimen for local control. This approach can reduce treatment time from 3−5 weeks to 1 week, shorten linear accelerator (linac) operation times, and decrease hospital visits. However, in non-academic hospitals in China, 50 Gy in 25 fractions remains the most common regimen after breast-conserving surgery (BCS). The effectiveness and potential side effects of ultrahypofractionated radiotherapy (RT) have not been reported in China. Therefore, a single-center, prospective, observational study was designed to assess the side effects, patient-reported outcomes (PROs), and dosimetric analysis of ultrahypofractionated WBI after BCS in early-stage breast cancer patients. The results were published in Malignancy Spectrum on 30 January 2024.
In this study, patients diagnosed with stages I and II breast cancer and treated with breast-conserving surgery were enrolled. They were prescribed a dose of 26 Gy in five fractions to the whole breast and tumor bed. The results showed that most patients (83.9%) were diagnosed with pathological stage I disease. The median planning target volume (PTV) was 456.4 mL. The minimum, maximum, and mean doses, and D95 to PTV were 20.2 Gy, 28.8 Gy, 27.2 Gy, and 26.3 Gy, respectively. The median mean lung dose and percentage lung volume receiving 8 Gy (V8) were 3.6 Gy and 13.4%, respectively. The median mean heart dose, V1.5, and V7 were 0.6 Gy, 6.8%, and 0.4%, respectively. Cosmetic effects before RT showed no obvious differences compared to that post RT. No toxicities of grade 3 or higher occurred. Five patients had asymptomatic radiation pneumonia (grade 1), and 12 patients had radiation dermatitis (grade 1). No factor was significantly related with radiation dermatitis or radiation pneumonia. For the EORTC QLQ-C30 and QLQ-BR23 questionnaires, all function and symptom scores before RT had no significant differences with after RT, 1–2 months after RT, and 3–4 months after RT (Figure 1).
In concusion, whole breast ultrafractionation RT after BCS in early BC had no severe toxicities and did not affect PRO. This is the first study from China to explore whole breast ultrafractionation RT after BCS in early breast cancer.
For more information: https://journal.hep.com
November 17, 2025 